A tener en cuenta:
Teoría Básico
Tipo: Antibióticos Antitumorales
No funcionan igual que los antibióticos empleados en el caso de infecciones, sino que por su mecanismo de acción alteran la membrana que rodea a las células y bloquean el proceso por el que las células se multiplican.
Los antibióticos antitumorales, o citostáticos, funcionan al unirse con el DNA para evitar la síntesis de RNA. Estos fármacos también impiden el crecimiento celular al imposibilitar la replicación de DNA.

Structure of a DNA oligonucleotide with two doxorubicin drugs (shown in pink) intercalated between the base pairs.
http://chemweb.bham.ac.uk/~hannonmj/Mike%20page/3wayjonction.htm
El mecanismo de acción de la doxorrubicina es complejo y aún no está plenamente esclarecido, aunque se piensa que actúa mediante intercalación en el ADN.15 Se sabe que al intercalarse inhibe la biosíntesis de ácidos nucleicos, pues dificulta el avance de la enzima topoisomerasa II, que desenrolla el ADN en la transcripción16 La doxorrubicina estabiliza este complejo topoisomerasa II después de que se abra la cadena de ADN, evitando que se libere la doble hélice y deteniendo así el proceso de replicación.
La porción cromófora aromática planar de la molécula se intercala entre dos pares de bases consecutivos del ADN, en tanto que el azúcar daunosamina se asienta en el surco menor, interactuando con los pares de bases situados a ambos lados del lugar donde se intercala, tal y como ha puesto de manifiesto la estructura cristalina.17
Los antibióticos antitumorales evitan que el DNA se vuelva a fijar a sí mismo, lo que provoca la muerte celular. Esta categoría de medicamentos sirve para tratar una variedad amplia de cánceres incluyendo el testicular y la leucemia. Los antibióticos antitumorales son administrados por la vía intravenosa; algunos ejemplos son: doxorubicina y mitomicina-C.
Categoría: Antriciclinas
El primer antibiótico de la serie fue la daunorrubicina, obtenido de Streptomyces peucetius; posteriormente se obtuvo su derivado 14-hidroxilado, la doxorrubicina (adriamicina), y otros: epirrubicina (Farmorubicina), idarrubicina (Zavedos). Todos ellos están constituidos por una estructura tetracíclica cromófora unida por un enlace glucosídico a un aminoazúcar, la daunosamina.
Como mecanismo de acción, destaca su capacidad para intercalarse entre los pares de bases adyacentes de ADN y fijarse con intensidad diversa. También son capaces de inhibir la topoisomerasa II: además, forman radicales libres que pueden afectar al ADN (lo que contribuye a su acción cardiotóxica), alteran la membrana, inhiben la fosforilación oxidativa de las mitocondrias e inhibe diversas enzimas relacionadas con el ADN.
Diana:
Nombre:
Comercial:
Estado: Aprobado
Tratamientos aprobados por los diferentes organismos públicos y agencias de regulación sanitarias.
Tecnología: Liposoma-PEG

Foto:

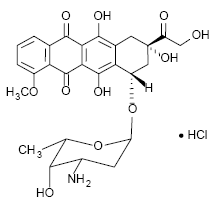
Fórmula:
Gráfico:
Información: Doxil pertenece a una clase de medicamentos de quimioterapia llamada antraciclina. Doxil comienza con el medicamento de quimioterapia doxorrubicina y después se cubre con una capa protectora, que permite que evite la destrucción por el sistema inmune del cuerpo y que permanezca en el cuerpo para una cantidad de tiempo más larga. Consecuentemente, Doxil tiene más tiempo para alcanzar el tejido fino del tumor, donde el medicamento entonces se lanza lentamente.
Cómo tomar Doxil
Doxil es dado como medicamento intravenoso (en una vena), por una enfermera entrenada. La dosis real se basa en el tipo de cáncer que le están tratando y su tamaño de cuerpo. Este medicamento es rojo y puede hacer su orina roja o anaranjada por cerca de 48 horas después del tratamiento. Si esto continúa o usted tiene dolor o quemazón al orinar, notifique a su doctor o enfermera.
Doxil es un irritante, que significa que puede causar la irritación de la vena a través de la cual se da y puede causar daño al tejido fino si se escapa de la vena. Si usted nota cualquier hinchazón, rojez o quemazón durante o después de la infusión, notifique a su enfermera o doctor inmediatamente. No aplique nada al sitio de la irritación a menos que sea mandado hacerlo por su equipo de oncología.
Efectos secundarios posibles de Doxil
Hay un número de cosas que usted puede hacer para manejar los efectos secundarios de Doxil. Hable con su doctor o enfermera sobre estas recomendaciones. Pueden ayudarle a decidir qué trabajará lo más mejor posible para usted.
Reacciones de infusión
Algunos pacientes pueden tener una reacción relacionada a la infusión, que puede incluir rubor, sentirse corto de respiración, hinchazón de la cara, escalofríos, fiebre, dolor en el pecho o la espalda, sentir el pecho o la garganta apretado, sarpullido y presión arterial baja, entre otras cosas. Si usted siente cualquier cosa fuera de lo común, notifique a su enfermera enseguida. Estas reacciones paran a menudo cuando se para la infusión y en muchos casos no ocurren de nuevo si la infusión se recomienza más lentamente.
Cuenta de la célula de sangre blanca baja (leucopenia o neutropenia)
Las células de sangre blancas (glóbulos blancos) son importantes para luchar contra la infección. Mientras que reciba el tratamiento, usted está en un riesgo más alto de desarrollar infecciones. Usted debe lavarse las manos con frecuencia y evitar a los grupos de gente grandes o a personas que están enfermas (es decir, aquellas que tienen catarros). Usted debe dejar a su doctor o enfermera saber enseguida si usted tiene fiebre (temperatura de 100.4 grados o mayor), dolor de garganta o resfriado, o una llaga que no se cura. Lavándose las manos, las suyas y las de sus visitantes, es la mejor manera de prevenir la extensión de infecciones.
Otros consejos para prevenir las infecciones:
Al trabajar en su patio, use ropa protectora incluyendo pantalones y guantes largos.
No toque los deshechos de su mascota.
Mantenga las heridas o arañazos limpios.
Dúchese o báñese a diario y realice el cuidado de su boca frecuentemente.
No se corte las cutículas o las uñas que han crecido hacia dentro. Usted puede usar esmalte de uñas, pero no uñas falsas.
Pregunte a su doctor o enfermera antes de hacer citas o tener procedimientos dentales.
Hable con su doctor o enfermera antes de que usted o un miembro de su familia tenga cualquier vacuna.
http://es.oncolink.org/treatment/article.cfm?c=2&s=10&id=483
Cáncer de seno (mama)
Cáncer epitelial de ovarios
Sarcoma de Kaposi
Vídeo:
Visitas: 4291
Mostrando Registros desde el 1 hasta el 0 de un total de 0