A tener en cuenta:
Teoría Básico
Tipo: Otros inhibidores
Grupo de fármacos que inhiben diferentes rutas como: la vía de la MAPK, vía IP3-DAG o vía inositol trifosfato (PI3)-quinasa; asociadas a receptores principalmente de la tirosina-quinasa RPTK (VEGFR, EGFR, PDGFR, MET), al proteosoma, a la ruta del mTOR, la vía Hedgehog, la vía Notch, a la proteína resultante de la fusión BCR-ABL o a las moléculas de adhesión celular como son la ICAM-1, la VCAM-1 y la E-selectina u otras proteínas o rutas mitogénicas.
Categoría: Tirosina quinasa
El receptor de tirosina quinasa es un receptor celular asociado a una vía de señalización intracelular caracterizado por pertenecer a la familia de los receptores con actividad enzimática intrínseca o asociada y por poseer como ligandos a la insulina, al factor de crecimiento epidérmico, al factor de crecimiento de fibroblastos, neurotrofinas y a otros factores tróficos. Las características moleculares del receptor de tirosina quinasa comprenden la posesión de una hélice alfa transmembranal individual, aunque la proteína intrínseca posee un dominio citosólico con actividad de tirosina quinasa, y su vía de transducción de señal incluye a la proteína G monomérica Ras asociada a la MAPK, vía IP3-DAG o vía inositol trifosfato (PI3)-quinasa. De este modo, su activación mediante un estímulo externo provoca una cascada interna de reacciones enzimáticas que facilita la adaptación de la célula a su entorno, por mediación de mensajeros secundarios.
Diana:
Nombre:
Comercial:
Estado: Aprobado
Tratamientos aprobados por los diferentes organismos públicos y agencias de regulación sanitarias.
Tecnología: Molécula pequeña
Foto:

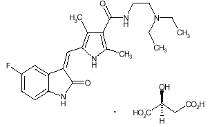
Fórmula:
Gráfico:
Información: El sunitinib (comercializado como Sutent, y previamente conocido como SU11248) es una pequeña molécula, de administración oral, con múltiples sitios blanco, constituidos por los receptores de tirosina quinasa (RTK), este inhibidor fue aprobado por la FDA para el tratamiento del carcinoma de células renales (CCR) y tumores del estroma gastrointestinal (GIST) resistentes al imatinib en enero 26 de 2006. El sunitinib fue el primer medicamento que simultáneamente fue aprobado para dos indicaciones diferentes.1 El sunitinib se convirtió en estándar para el tratamiento de ambos tipos de cáncer, y está siendo actualmente estudiado para el tratamiento de muchos otros.
Mecanismo de acción
El Sunitinib inhibe las señales celulares por unión a múltiples receptores de tirosina quinasa (RTKs).
Estos incluyen todos los receptores de factor de crecimiento derivado de plaquetas (PDGF-Rs) y receptores del factor de crecimiento endotelial (VEGFRs), los cuales juegan un papel en la angiogénesis y en la proliferación de células tumorales. La inhibición simultanea de estos receptores genera una fuerte disminución de la neovascularización tumoral y de esta manera lleva a la reducción del tumor.
El sunitinib también inhibe el KIT (CD117),2 el RTK que (cuando es activado en forma inapropiada por una mutación) dirige la mayoría de los tumores gastrointestinales de células estromales.3 Se ha recomendado como tratamiento de segunda línea para pacientes en los cuales los tumores desarrollan mutaciones en el kit que los hace resistentes al imatinib, o quienes tienen intolerancia al medicamento.4 5
Además, el sunitinib inhibe otros tipos de RTKs.6 Estos incluyen:
RET
CSF-1R
flt3
El hecho que el sunitinib se fija a una variedad de receptores, explica mucho de sus efectos adversos tales como el clásico síndrome mano pie, estomatitis, y otra variedad de efectos tóxicos de tipo dermatológico.
Indicaciones
Carcinoma de células renales
El sunitinib es el tratamiento estándar de primera línea del carcinoma de celular renales (CCR), otras opciones terapéuticas en este contexto son sorafenib (Nexavar), temsirolimus (Torisel) e [[Interleucina 2|Interleukina 2] (Proleukin).
El CCR es generalmente resistente a quimioterapia o radiación. Previo al uso de los inhibidores de tirosina quinasa, la enfermedad metastásica solo podía ser tratada con las citoquinas interferon alfa (IFN?) o Interleukina 2 (IL-2). Sin embargo estos agentes demostraron bajas tasas de eficacia(5%-20%).
En dos estudios diferentes de Fase II, el sunitinib demostró un notable porcentaje de respuesta en aproximadamente el 40% de los pacientes en quienes ya había fallado la terapia con citoquinas.7 No obstante estos eran estudios de Fase II, resultaron ser lo suficientemente impresionantes para que la FDA aprobara el sunitinib para manejo de primera línea, aun antes que los estudios de fase III estuvieran disponibles.
El resultado de los estudios de fase III, publicados en el New England Journal of Medicine en 2007, probaron que el sunitinib ofrece eficacia superior comparado con el interferno alfa (IFN?). La progresión de sobrevida (primer punto de referencia) fue más del doble: 11 meses para el sunitinib comparado con 5 meses para el IFN? (P<.000001).6 El beneficio del sunitinib fue significativo en todos los subgrupos de pacientes, incluyendo aquellos con un estadio avanzado de la enfermedad y mal pronostico como línea de base.7
Puntos secundarios de referencia también se beneficiaron del sunitinib. 28% de los pacientes con sunitinib tuvieron una disminución de tamaño importante del tumor (respuesta objetiva) comparado con solo el 5% de pacientes que recibieron Interferon alfa IFN? (P<.001). Sin embargo datos concernientes a la sobrevida no están aun definidos, existe una clara tendencia hacia la supervivencia incrementada con sunitinib. Los pacientes que recibieron sunitinib también reportaron una sustancial mejora en la calidad de vida que aquellos tratados con IFN? (P<.001).7
Basado en estos resultados el investigador líder, el Dr. Robert Motzer anuncio en ASCO 2006 que “el sunitinib es el nuevo estándar de referencia para el tratamiento de primera línea del CCR.”8
Tumor del estroma gastrointestinal
Como en el carcinoma de celular renales, los tumores del estroma gastrointestinal (GISTs) generalmente no responden a quimioterapia estándar o radiación. El Imatinib fue el primer agente antineoplásico que demostró efectividad para los GISTs metastásicos y representó un importante avance en el tratamiento de esta enfermedad. Sin embargo aproximadamente el 20% de los pacientes no respondían al imatinib (resistencia primaria), y entre aquellos que respondían inicialmente, el 50% desarrollo resistencia secundaria y progreso de la enfermedad dentro de lo 2 años de iniciada la terapia. Previo al sunitinib, los pacientes no tenían opciones terapéuticas luego de hacerse resistentes al sunitinib.9
El sunitinib ofrece a los pacientes con GISTs imatinib-resistentes una opción terapéutica para detener la progresión adicional del tumor y en algunos casos hasta reversarlo. Esto fue probado en un extenso estudio clínico fase III, en el cual pacientes en quienes fallo la terapia con imatinib (debido a resistencia primaria, resistencia secundaria, o intolerancia) fueron tratados en un estudio aleatorio y doble ciego con sunitinib o placebo.9
Entre los criterios de valoración secundarios, la diferencia en la supervivencia libre de progresion (del inglés Progresion-free survival PFS) fue similar al tiempo de vida media de progresión del tumor (del inglés median time to tumor progression TTP) (24 semanas vs 6 semanas, P<.0001). El 7% de los pacientes con sunitinib tuvieron una disminución significativa del tamaño del tumor (respuesta objetiva)comparado con el 0% de los pacientes con placebo (P=.006). Otro 58% de los pacientes con Sunitinib tuvieron estabilización de la enfermedad vs el 48% de los pacientes que recibieron placebo. La vida media de respuesta al sunitinib fue de 10.4 semanas.9 El sunitinib redujo el riesgo relativo el riesgo relativo de progresión de la enfermedad o muerte en un 67%, y el riesgo de muerte en un 51%. La diferencia en la mejoría de la supervivencia pudo ser atenuado por el hecho que pacientes con placebo se pasaron a sunitinib afectando la progresión de la enfermedad, pues la mayoría de los pacientes subsecuentemente respondieron al sunitinib.9
El sunitinib fue relativamente bien tolerado. El 83% de los pacientes experimentaron efectos adversos relacionados con el tratamiento de diferente severidad, así como el 59% de los pacientes que recibieron placebo. Eventos adversos severos fueron reportados en el 20% de los pacientes con sunitinib y 5% en los pacientes con placebo. Los eventos adversos fueron generalmente moderados y fácilmente manejados con disminución de la dosis, su interrupción, u otro tratamiento. el 9% de los pacientes con y el 8% de los pacientes con placebo suspendieron la terapia debido a efectos adversos.9
La fatiga fue el evento adversos mas frecuente asociado a la terapia con sunitinib. En este estudio, el 34% de los pacientes reportaron algún grdo de fatiga, comparado con el 22% de los pacientes con placebo. La incidencia de fatiga severa fue similar en los dos grupos, y no hubieron casos reportados de fatiga muy severa.9
Otros tumores sólidos
La eficacia del sunitinib esta siendo evaluada actualmente para una amplia variedad de tumores sólidos, incluyendo canceres de seno, pulmón y colorectales. Estudios recientes han mostrado eficacia como monoterapia en gran número de áreas diferentes. Adicionalmente al bloqueo de angiogénesis, el sunitinib también inhibe enzimas adicionales que están involucradas en el desarrollo de tumores. El descubrimiento del medicamento y el esclarecimiento de su mecanismo de acción multiespecifico están basados en los descubrimientos de Axel Ullrich y su equipo del "Max Planck Institute of Biochemistry" en los años 80 en Múnich. El desarrollo médico y farmacéutico así como los ensayos clínicos del medicamento fueron realizados por la compañía «Sugen», fundada en 1991 por Ullrich y sus colegas americanos Joseph Schlessinger (La S en Sugen por Schlessinger y la U por Ullrich), también involucraron la «New York University» y el «Max Planck Society». El concepto fue el de un análogo de ATP que pudiese competir con este para unirse al sitio catalítico de los receptores de tirosina quinasas. Este concepto llevo a la invención de esta pequeña pero importante molécula inhibidora de tirosina quinasa llamada sunitinib.
Un estudio de fase II en pacientes con diagnóstico de de cáncer metastasico de seno previamente tratados, encontró que el Sunitinib tiene tiene una actividad importante como tratamiento monoterapeutico 10
Un estudio de fase II de cáncer pulmonar metastásico no microcítico refractario encontró que el “El sunitinib tiene una provocativa actividad como agente monoterapeutico en pacientes tratados previamente con cancer avanzado o mestastasico de células no microcíticas, con un nivel de actividad similar a los agentes aprobados actualmente"11
En un estudio de fase II en pacientes con tumores neuroendocrinos no resecables, el 91% de los pacientes respondió al sunitinib (9% respuesta parcial 82% con enfermedad estable)12
Efectos colaterales
El sunitibib en general ha sido bien tolerado. Los efectos adversos fueron considerado algo más que manejables y la incidencia de eventos colaterales fue baja.7 9
Los efectos adversos más comunes asociados a la terapia con sunitinib, fueron fatiga, diarrea, náusea, hipertensión, ictericia, reacciones cutáneas y estomatitis.13 En los estudios de fase III para el tratamiento de los GIST, los efectos adversos que ocurrieron más a menudo con el sunitinib que con el placebo incluyeron diarrea, anorexia, decoloración cutánea, mucositis/estomatitis, astenia, gusto alterado y estreñimiento.6 9
Reducciones de la dosis en un 50% fueron requeridas en los pacientes estudiado en tratamiento para el carcinoma de células renales, con el objeto de manejar los efectos tóxicos significativos del agente.
Eventos adversos serios (grado 3 0 4) ocurrieron en ?10% de los pacientes e incluían hipertensión, fatiga, astenia, diarrea y síndrome mano-pie. Las anormalidades de laboratorio asociadas a la terapia con sunitinib afectan la lipasa, amilasa, neutrófilos, linfocitos y plaquetas. El hipotiroidismo y eritrocitosis reversibel también han sido asociados al sunitinib.6 14 La mayoría de efectos adversos pueden ser manejados mediante tratamiento de soporte, la interrupción del tratamiento y disminución de la dosis.
http://es.wikipedia.org/wiki/Sunitinib
ACCION
- Anticanceroso. Sunitinib es un inhibidor de receptores de tirosincinasa (RTK) que están implicados en el crecimiento tumoral, la angiogénesis patológica y la progresión a metástasis del cáncer. Sunitinib se identificó como un inhibidor de los receptores del factor de crecimiento derivado de plaquetas (PDGFR), factor inhibidor de crecimiento endotelial vascular (VEGF) (VEGFR1, VEGFR2 y VEGFR3), del receptor de factor de células madre (KIT), de la tirosin-quinasa 3 tipo Fms (FLT3), del factor estimulador de colonias (CSFIR), y del receptor de factor neurotrófico derivado de la línea celular glial (RET).

FARMACOCINETICA
Oral: – Absorción: las concentraciones máximas de sunitinib se alcanzaron a las 6-12 horas (Tmax) después de administrar la dosis. El estado estacionario se alcanza a los 10-14 días. En el día 14, las concentraciones plasmáticas combinadas de sunitinib y su metabolito activo son de 62.9-101 ng/ml, que son las concentraciones diana calculadas en base a los datos no clínicos para inhibir la fosforilación de RTK in vitro y que tiene como resultado la reducción de crecimiento tumoral in vivo.
- Distribución: la unión de sunitinib y su metabolito activo primario a proteínas plasmáticas humanas en los ensayos in vitro fue del 95% y del 90%, respectivamente, sin ninguna dependencia aparente de la concentración. El Vd para sunitinib fue elevado (2230 l), lo que indica que se distribuye ampliamente a los tejidos.
- Metabolismo: este medicamento se metaboliza principalmente por CYP3A4, enzima del citocromo P450, que produce su metabolito activo principal, el cual es metabolizado aun más por el CYP3A4. La administración concomitante de sunitinib con el inductor potente del CYP3A4, rifampicina, resultó en una reducción de aproximadamente el 56% y el 78% de los valores de Cmax y AUC de sunitinib respectivamente, después de una dosis única en voluntarios sanos. La administración de sunitinib con otros inductores de la familia CYP3A4 (por ejemplo, dexametasona, fenitoína, carbamacepina, fenobarbital o hiperico) pueden reducir las concentraciones de sunitinib.
-Eliminación: se excreta principalmente a través de las heces (61%), siendo la eliminación renal del fármaco y sus metabolitos del 16% de la dosis administrada. Sunitinib y su metabolito activo principal fueron los compuestos principales relacionados con el fármaco que se identificaron en plasma, orina y heces, representando el 91,5%, 86,4% y 73,8% de la radioactividad en muestras combinadas, respectivamente. Se identificaron los metabolitos menores en la orina y las heces, pero en general, no fueron encontrados en el plasma. El aclaramiento oral total fue de 34-62 l/hora. Después de la administración oral en voluntarios sanos, las semividas de eliminación de sunitinib y de su metabolito desetil activo principal son de aproximadamente 40-60 horas, y 80-10 horas, respectivamente. El metabolito activo principal supone del 23 al 37% de la exposición total. La farmacocinética fue similar en todas las poblaciones de tumores sólidos probadas y en los voluntarios sanos.
INDICACIONES
- Tumor del estroma gastrointestinal (GIST) y/o maligno no resecable después del fracaso al tratamiento con mesilato de imatinib debido a la resistencia o intolerancia.
- Cáncer de riñón: tratamiento del cáncer de células renales avanzado y/o metastásico (CCRM).
POSOLOGIA
- Adultos, oral: 50 mg/24 horas durante 4 semanas consecutivas, seguido por un periodo de 2 semanas de descanso (régimen 4/2) para cumplimentar un ciclo completo de 6 semanas.
Se pueden aplicar modificaciones de la dosis con variaciones de 12,5 mg en base a la seguridad y la tolerabilidad individual. La dosis diaria no debe exceder de 87,5 mg ni estar por debajo de 37,5 mg.
Debe evitarse la asociación con inductores potentes del CYP3A4 como rifampicina. Si no es posible, puede ser necesario aumentar la dosis de sunitinib con incrementos de 12,5 mg (hasta 87,5 mg al día) en base a la monitorización cuidadosa de la tolerabilidad. De igual manera, la administración concomitante de sunitinib con inhibidores potentes del CYP3A4, como el ketoconazol, deben evitarse. Si esto no es posible, puede que sea necesario reducir las dosis de sunitinib hasta un mínimo de 37,5 mg al día, basándose en una monitorización cuidadosa de la tolerabilidad. Se debe considerar la elección de un medicamento alternativo para administración concomitante que no tenga o que tenga un potencial mínimo para inducir o inhibir el CYP3A4.
- Niños, oral: sunitinib no debe administrarse a niños ni adolescentes menores de 18 años por la ausencia de datos sobre seguridad y eficacia en estos pacientes.
- Ancianos: No se observaron diferencias significativas ni en seguridad ni en eficacia entre los pacientes más jóvenes y los más mayores.
- Insuficiencia hepática: No es necesario realizar ajuste de dosis en pacientes con insuficiencia hepática leve o moderada (Child-Pugh Clases A y B). No ha sido estudiado en sujetos con insuficiencia hepática Child-Pugh Clase C.
- Insuficiencia renal: No se han realizado estudios clínicos en estos pacientes.
- Olvido de una toma: Si el paciente olvida tomar una dosis no se le debe administrar una dosis adicional. El paciente debe tomar la dosis prescrita habitual al día siguiente.
- Normas para la correcta administración: Puede tomarse con o sin alimentos.
CONTRAINDICACIONES
- Hipersensibilidad al malato de sunitinib o a cualquiera de los excipientes.
PRECAUCIONES
- HTA: El tratamiento con sunitinib produjo hipertensión en el 16% de los pacientes con tumores sólidos. En el 4,7% de esta población de pacientes se produjo hipertensión severa (>200 mmHg sistólico o 110 mmHg diastólico). Se debe someter a los pacientes a seguimiento y control adecuado de la tensión arterial. Se recomienda la suspensión temporal en pacientes con hipertensión grave que no consiguen ser controlados con intervención médica. Se puede reanudar el tratamiento una vez que la hipertensión esté controlada adecuadamente.
- Neutropenia, trombocitosis: Se notificaron recuentos de neutrófilos absolutos disminuidos, de gravedad de grado 3 y 4, en el 13,1% y en el 0,9% de los pacientes, respectivamente. Se comunicaron recuentos disminuidos de plaquetas de gravedad de grado 3 y 4, en el 4% y en el 0,5% de los pacientes, respectivamente. Los acontecimientos mencionados no fueron acumulativos, fueron típicamente reversibles y en general, no motivaron la suspensión del tratamiento. Se deben realizar recuentos sanguíneos completos al principio de cada ciclo de tratamiento en los pacientes que reciben tratamiento con sunitinib.
- Insuficiencia cardíaca: Se produjeron disminuciones en la fracción de eyección del ventrículo izquierdo del 20% y por debajo del limite inferior normal en aproximadamente el 2% de los pacientes con GIST tratados con sunitinib y en el 4% de los pacientes con CCRM (Cáncer de células renales metastático) y en el 2% de los pacientes tratados con placebo. No parece que estas disminuciones en la fracción de eyección del ventrículo izquierdo hayan sido progresivas y en muchas ocasiones mejoraron durante la continuación del tratamiento. Debe monitorizarse estrechamente en estos pacientes los signos clínicos y síntomas del ICC mientras reciben sunitinib. Deben considerarse evaluaciones basales y periódicas de la fracción de eyección del ventrículo izquierdo mientras el paciente esté recibiendo este medicamento. En pacientes sin factores de riesgo cardiacos, debe considerarse una evaluación basal de la fracción de eyección. En presencia de manifestaciones clínicas de ICC, se recomienda la suspensión de sunitinib. La dosis de este medicamento deber interrumpirse y/o reducirse en pacientes sin evidencia clínica de ICC pero con una fracción de eyección <50% y >20% por debajo del nivel basal.
- Síndrome de QT largo, bradicardia, arritmia cardíaca: a dosis dos veces las concentraciones terapéuticas, sunitinib prolonga el intervalo QTcF (Corrección de Friederica). No hubo ningún paciente con prolongación del intervalo QT/QTc mayor de grado 2 (CTCAE v3.0) y en ningún paciente se produjo arritmia cardiaca. La relevancia clínica de estos efectos observados no está clara y dependerán de los factores de riesgo y las susceptibilidades presentes en cada paciente individual. Sunitinib debe utilizarse con precaución en pacientes con historia conocida de prolongación del intervalo QT, en pacientes que están en tratamiento con antiarrítmicos, o en pacientes con enfermedad cardiaca relevante preexistente, bradicardia o alteraciones electrolíticas.
- Hipotiroidismo: Se notificó hipotiroidismo como acontecimiento adverso en 7 pacientes (4%) a lo largo de los dos estudios de CCRM. Adicionalmente, se notificaron elevaciones de la TSH en 4 pacientes (2%). En total, en el 7% de la población con CCRM hubo evidencia clínica o analítica de hipotiroidismo emergente con el tratamiento. El hipotiroidismo adquirido emergente con el tratamiento se observó en 8 pacientes de GIST (4%) en el brazo de sunitinib versus 1 (1%) en el brazo placebo. En los pacientes con síntomas sugerentes de hipotiroidismo se debe monitorizar la analítica de función tiroidea y ser tratados de acuerdo con los estándares de la práctica médica.
- Pancreatitis: Se observaron aumentos en la actividad de la lipasa y la amilasa séricas en los pacientes con varios tumores sólidos que recibieron sunitinib. Los aumentos en la actividad de la lipasa fueron transitorios y en general, no se manifestaron con signos ni síntomas de pancreatitis en los sujetos con varios tumores sólidos. Se observó pancreatitis en el 0,4% de los pacientes con tumores sólidos. Si se presentan síntomas de pancreatitis, los pacientes deberán tener el seguimiento médico adecuado.
- Convulsiones: se han observado convulsiones en pacientes con evidencia radiológica de metástasis en el cerebro. Además, ha habido notificaciones de sujetos que presentan convulsiones y evidencia radiológica de síndrome de leucoencefalopatía reversible posterior (SLRP). Ninguno de estos sujetos tuvo un desenlace fatal del acontecimiento. Los pacientes con convulsiones y signos/síntomas compatible con SLRP, tales como hipertensión, dolor de cabeza, disminución de la alerta, función mental alterada, y pérdida visual, incluyendo ceguera cortical deben ser controlados recibiendo atención médica incluyendo el control de la hipertensión. Se recomienda la suspensión temporal de sunitinib. Tras la resolución, el tratamiento puede ser reiniciado a criterio del facultativo.
http://adolfoneda.com/sunitinib/
Cáncer de células renales
Cáncer de estómago (gástrico)
Cáncer de intestino delgado
Cáncer de colon
Vídeo:
Visitas: 4687
ivette
![]()
hola porfavor necesito saber de este medicamento para el tratamiento del cancer al riñon mi hermano le localizaron uno en el riñon derecho. quisiera saber que tratamiento debe llevar
1
Mostrando Registros desde el 1 hasta el 1 de un total de 1